CS174 Spring 99 Lecture 5 Summary

 

Occupancy Problems

Occupancy problems deal with pairings of objects. The normal occupancy problem is about placing m balls into n bins. This seemingly uninteresting problem has a huge number of applications.

Case 1: n balls into n bins

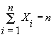
Let Xi be the random variable which counts the number of balls in bin i (so Xi is not a {0,1}-valued indicator variable. Clearly

so E[å Xi] = n and by linearity of expectation, E[Xi] = 1. So we expect to see one ball in each bin, but how many bins actually have a ball in them? How many have more than one? These questions are more interesting and harder to answer. Lets define

Yj(k) = 1 if and only if bin j has k or more balls in it.

Recall that for an indicator variable E[Yj(k)] = Pr[Yj(k)=1]

Before we can compute that probability, lets compute the simpler probability that bin 1 (all bins are the same so k doesn’t matter) contains exactly i balls. That probability is

This is computed using the usual binomial formula for probability. i.e. there are n choose i ways to pick a subset of i balls that go into the first bin and the other two terms give the probability that a particular set of i balls goes there. From Stirlings formula (see page 434 of Motwani and Raghavan) there is an inequality

And when this is substituted into the last formula we get an inequality

The last term is a pretty simple bound for the probability we are looking for. But we want the probability that bin 1 contains at least k balls (i.e. that Y1(k) = 1), which is bounded by

 Since the terms in brackets form a geometric series the above simplifies to

Now look carefully at the bound. Unless k>e, the geometric series we just bounded doesn’t converge, so the bound won’t work.

But for k > e, the probability of having k or more balls in a bin decreases sharply. E.g. for k=4, the probability is less than 0.66 (but this is an upper bound and the probability is not equal to 0.66). For k=6, the probability drops to less than 0.016. For k=10, it is very small indeed, less than 3x10-6. Notice that none of these bounds depend on n.

Number of empty bins

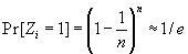
Next consider Zi = 1 if bin i contains zero balls, and zero otherwise. Now

 

By doing a binomial expansion of that last term, you can show that it is close to

 

And because Zi is an indicator random variable, we have that

 So we can appeal to linearity of expectation to count the total number of empty bins:

 

 In other words about n/e or 37% of the bins will be empty.

The Birthday Paradox

Here we follow the book. We place balls one at a time into bins, and compute the probability as a product of the probabilities that each ball lands in an empty bin.